51 Products Modeling Compounds Classics Coloring Pages
49 out of 5 stars. Buy Crayola BIN570016 Super Soft Modeling Dough Assorted Colors Pack of 6.

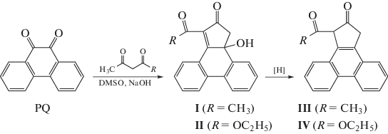
Synthesis And Structures Of 1 3 Dicarbonyl Compounds Based On 9 10 Phenanthrenequinone Crystal And Molecular Structure Of The Lantern Type Binuclear Copper Ii Complex Cu 2 M 2 Oocch 2 C 14 H 8 Co 2 Oc 2 H 5 4 Ncch 3 2 Springerlink
Free 3D Models Available for Download.

51 products modeling compounds classics coloring pages. Excels Color Palette has an index of 56 colors which can be used throughout your spreadsheet. Wed love to hear from you. Pages with related products.
See and discover other items. Discover the best Sculpture Modeling Compounds in Best Sellers. Artista II Classpacks creatED Model.
Each form allows a choice of 16777216 colors. Each line consists of RGB values HEX value the colors name luminance value HSL values and a color rectangle. Find the top 100 most popular items in Amazon Arts Crafts Sewing Best Sellers.
Hobby paint storage. Sign-up For Crayola Offers. Unrivaled selection of premium 3D models also available for purchase prices starting under 5.
Acrylic Bulk Coloring Sets Craft Packs creatED Dough Dry Erase Tools Fingerpaint Silly Putty Tempera Washable Price. 00 out of 5 stars. Bulk Modeling Compounds Bulk Paint Supplies Type.
Our Air-Dry Clay hardens on its own and our Modeling Clay can be sculpted squished and reused over again without ever drying out. The treatment of a model solution containing 13 compounds typically found in olive mill wastewaters OMW at a concentration of 50 mgL each by means of sonophotocatalysis over 075 gL Degussa TiO 2 suspensions was studied. Experiments were conducted at an ultrasound frequency and intensity of 80 kHz and 120 W respectively ultraviolet power of 9 250 and 400 W with or without the.
Play-Doh Modeling Compound 10 Pack Case of Colors Non-Toxic Assorted Colors 2 Oz Cans Ages 2 Up Exclusive Multicolor. Assorted Colors 48Bag 65048 47 out of 5 stars 623. Play-Doh Modelling Compound Multicolor Magic 20-Pack Value Set for Kids 2 Years and Up 25 Lbs Assorted Colors 2-Ounce Cans Non-Toxic.
A HTML color code is an identifier used to represent a color on the web and within other digital assets. Google has many special features to help you find exactly what youre looking for. Files available in all major formats - max fbx obj c4d maya.
Kids love the 3D nature of modeling work. Get crafts coloring pages lessons and more. Shop for the latest arts.
Crayola modeling clay classic. The Multicolor Magic Pack comes with 20 cans each filled with 2 ounces of squishy colorful non-toxic Play-Doh modelling compound. For reasons unknown aside from the index value Excel also recognizes the names for Colors 1 through 8 Black White Red Green Blue Yellow.
You can click on a color rectangle to import the color into the HSL Color PickerRGB HEX or HSL values can be used as HTML color code or CSS color code. Search the worlds information including webpages images videos and more. Each of these colors in the palette is associated with a unique value in the ColorIndex.
Signup to get the inside scoop from our monthly newsletters. Read reviews for Crayola Modeling Clay Classic. Save 20 with code 20MADEBYYOU.
Common forms of these codes are as a keyword name a hexadecimal value a RGB red green blue triplet and a HSL hue saturation lightness triplet. Playing with Play-Doh compound is even more fun with 20 colors. 500 - 1000 1000 - 1500 1500 - 2000 2000 - 2500 Over 3000 Brand.
Predefined Content Ready to use site collections multiple web parts for easy customization master pages and page layouts for all SharePoint site types. This color chart represents a set of common colors ordered by name as an one-page overview. Thousands of free 3D models available for download.
Bulk Super Can of Non-Toxic Modeling Compound with 4 Classic Colors - Red Blue Yellow and White. Find many great new used options and get the best deals for Play-Doh Non-toxic 10-pack Case of Colors Modeling Compound 29413F01 at the best online prices at eBay. With Crayola clay and putty compounds theres no need to hunt down a kiln.
Easy Color Adjustments Step-by step instructions on how to modify color palettes spcolor to match your corporate identity. Crayola brand Model Magic offers the. Welcome to the official Play-Doh website.
Find Play-Doh sets videos apps arts crafts toys for creative kids here and begin making imaginative creations. They are unique almost always based on official manufacturer documentation and. 133 - 4972 20.
Free shipping for many products.

Synthesis And Structures Of 1 3 Dicarbonyl Compounds Based On 9 10 Phenanthrenequinone Crystal And Molecular Structure Of The Lantern Type Binuclear Copper Ii Complex Cu 2 M 2 Oocch 2 C 14 H 8 Co 2 Oc 2 H 5 4 Ncch 3 2 Springerlink

Hasbro Play Doh 2 Lb Bulk Super Can Of Non Toxic Modeling Compound With 4 Classic Colors Red Blue Yellow And White Dough Amazon Canada

Kiddy Dough Compound 36 Pack Of Color Dough Mega Modeling Sculpting Playset With 36 3 Oz Cans Exclu Sive Bulk Party Pack Walmart Com Walmart Com

Amazon Com Bazic 2 Oz Multi Color Modeling Dough 6 Pack Office Products

Molecules Free Full Text Pegylated Purpurin 18 With Improved Solubility Potent Compounds For Photodynamic Therapy Of Cancer Html

Cosmetics Free Full Text Natural And Bioinspired Phenolic Compounds As Tyrosinase Inhibitors For The Treatment Of Skin Hyperpigmentation Recent Advances Html

Explore Color Aquamarine 7fffd4 Complimentary Colors Color Color Mixing

Amazon Com Play Doh B6508 4 Pack Classic Colors 16 Oz Small Toys Games Play Doh Play Doh Colors Play Doh Party

Marker And Stencil Pack Girl Crayola Crayola Markers Crayola Crayola Toys

Molecules Free Full Text Pegylated Purpurin 18 With Improved Solubility Potent Compounds For Photodynamic Therapy Of Cancer Html

Amazon Com Pd Play Doh Compound Bundle Classic Colors 4 Pack Wild Colors 4 Pack Sweet Colors 4 Pack Toys Games

Everything Matters Tales From The Periodic Table Exploratorium Video Chemistry Classroom Black Lives Matter Movement Chemistry Class

Synthesis And Structures Of 1 3 Dicarbonyl Compounds Based On 9 10 Phenanthrenequinone Crystal And Molecular Structure Of The Lantern Type Binuclear Copper Ii Complex Cu 2 M 2 Oocch 2 C 14 H 8 Co 2 Oc 2 H 5 4 Ncch 3 2 Springerlink

Play Doh Big Pack Of Colors Bulk 28 Pack Includes 5 Pounds Of Compound Total Walmart Com Walmart Com

Design Of Hybrid Molecules As Antimycobacterial Compounds Synthesis Of Isoniazid Naphthoquinone Derivatives And Their Activity Against Susceptible And Resistant Strains Of Mycobacterium Tuberculosis Sciencedirect

Crayola Modeling Clay Classic Claymoldingideasforkids Crayola Modeling Clay Modeling Clay Clay Art For Kids

Play Doh Handout 42 Pack Of 1 Ounce Non Toxic Modeling Compound For Kid Party Favors Trick Or Treat Classroom Prizes School Supplies Assorted Colors Ages 2 And Up Dough Amazon Canada

The Lipopolysaccharide Lps Toll Like Receptor 4 Tlr4 Signaling Download Scientific Diagram
